Temperature Coefficient of Resistance for Current Sensing
How Temperature and Construction Affect Resistance Stability
2021-08-31
The following topics will be discussed in the article.
- What is TCR?
- How is TCR determined?
- How does construction affect TCR performance?
- TCR in applications
- How to compare datasheets
Cause and effect
Resistance is a result of a combination of factors that cause an electron’s movement to deviate from an ideal path within a crystalline lattice of a metal or metal alloy. As an electron encounters defects or imperfections within the lattice it can cause diffusion. This increases the path traveled, resulting in increased resistance. These defects and imperfections can result from:
- Movement in the lattice due to thermal energy
- Different atoms present in the lattice, such as impurities
- Partial or complete absence of a lattice (amorphous structure)
- Disordered zones at the grain boundaries
- Crystalline and interstitial defects in the lattice
The temperature coefficient of resistance (TCR), sometimes referred to as resistance temperature coefficient (RTC), is a characteristic of the thermal energy component of the above imperfections. The effect of this resistance change is reversible as the temperature returns to reference temperature, assuming the grain structure was not altered from high temperatures resulting from an extreme pulse/overload event. For Power Metal Strip® and Power Metal Plate™ products, this would be a temperature that caused the resistance alloy to exceed 350°C.
This resistance change due to temperature is measured in ppm/°C, which widely varies among different materials. For example, manganese-copper alloy has a TCR of < 20 ppm/°C (for 20°C to 60°C), whereas copper used in terminations is approximately 3900 ppm/°C. Another way to represent ppm/°C that may be easier to consider is that 3900 ppm/°C is the same as 0.39 %/°C. These may seem like small numbers until you consider the change in resistance due to a temperature rise of 100°C. For copper that would cause a 39 % change in resistance.
An alternate method for visualizing the effect of TCR is to consider it in terms of the rate of expansion of a material with temperature (Figure 1). Consider two different bars, A and B, that are each 100 m in length. Bar A changes length at a rate of +500 ppm/°C and bar B changes length at a rate of +20 ppm/°C. A temperature change of 145°C will cause the length of bar A to increase 7.25 m, whereas bar B will only increase in length by 0.29 m. Below is a scaled (1 / 20) representation to visually demonstrate the difference. Bar A has a very noticeable change in length, whereas bar B has no visible change in length.
Figure 1: One method of visualizing the effect of TCR is to look at it the terms of rate of expansion of a material with temperature increase. (Image source: Vishay Dale)
This also applies to a resistor in that the lower TCR will result in a more stable measurement across temperature, which may be caused by applied power (causing the resistance element temperature to increase) or ambient environment.
How TCR is measured
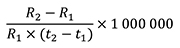
TCR performance per MIL-STD-202 Method 304 is resistance change based on a reference temperature of 25°C. The temperature is changed and the device under test is allowed to reach equilibrium before the resistance value is measured. The difference is used to determine the TCR. For the Power Metal Strip WSL model, the TCR is measured at the low temperature of -65°C and then measured at +170°C. The equation follows below. Typically an increase in resistance with an increase in temperature results in a positive TCR. Also, note that self-heating causes a resistance change due to TCR.
Resistance - temperature coefficient (%):
![]()
Resistance - temperature coefficient (ppm):
![]()
Where:
R1 = resistance at reference temperature
R2 = resistance at operating temperature
t1 = reference temperature (25°C)
t2 = operating temperature
The operating temperature (t2) is often based on the application. For example, the temperature range for instrumentation is typically 0°C to 60°C, and -55°C to 125°C is the typical range for military applications. The Power Metal Strip WSL series provides TCR for its operating range of -65°C to +170°C, while the WSLT series has an extended temperature range to 275°C.
Table 1 below gives the TCR for some resistance materials used in the range of products associated with this article.
|
||||||||||||||||||||||||||||||||||||||||
Table 1: Various resistor element material TCRs in ppm/°C. (Image source: Vishay Dale)
Figure 2 compares different TCR levels as a percentage change in resistance versus increasing temperature from 25°C.
Figure 2: A comparison of different TCR levels as a percentage change in resistance over temperature. (Image source: Vishay Dale)
The following equation calculates the maximum change in resistance value for a given TCR.
![]()
Where:
R = final resistance
R0 = initial resistance
α = TCR
T = final temperature
T0 = initial temperature
Vishay offers an online TCR calculator at https://www.vishay.com/resistors/change-resistance-due-to-rtc-calculator/.
How construction affects TCR
The Power Metal Strip and Power Metal Plate series offer superior TCR performance when compared to traditional all-metal thick film current sense resistors. A thick film current sense resistor utilizes a material that is primarily silver, with terminals of silver and copper. Silver and copper have similarly large TCR performance values.
Figure 3: Comparison of Vishay Power Metal Strip resistors to typical metal strip and thick film resistors. (Image source: Vishay Dale)
The Power Metal Strip resistor series uses a solid copper terminal (item 2 in Figure 4) that is electron beam welded to a low TCR resistance alloy (item 1), achieving low values down to 0.1 mΩ with low TCR. However, the copper terminal has a high TCR (3900 ppm/°C) compared to the resistance alloy (< 20 ppm/°C), which still plays a role in the overall TCR performance as lower resistance values are required.
Figure 4: Typical construction of a Vishay Power Metal Strip resistor. (Image source: Vishay Dale)
The copper terminal provides a low resistance connection to the resistance alloy, which enables uniform distribution of current flow to the resistance element for a more accurate current measurement for high current applications. However, the copper terminal has a high TCR (3900 ppm/°C) as compared to the resistance alloy (< 20 ppm/°C), which has a significant impact on the overall TCR performance at very low resistance values. This is portrayed in Figure 5 demonstrating how the total resistance is influenced by the combination of the copper terminal and the low TCR resistance alloy. For the lowest resistance values of a specific resistor construction, the copper becomes more significant in the TCR rating and performance.
Figure 5: For lower resistance values of a specific resistor construction, the copper becomes more significant in the TCR rating and performance. (Image source: Vishay Dale)
This influence may occur at different resistance value ranges for different parts. For example, the TCR rating of the WSLP2512 is 275 ppm/°C at 1 mΩ, while the WSLF2512 is 170 ppm/°C at 1 mΩ. The WSLF has a lower TCR because the copper terminal has a lower resistance contribution for the same resistance value.
Kelvin terminal vs. 2 terminal
The Kelvin (4 terminal) construction provides two benefits: improved current measurement repeatability and improved TCR performance. The notched construction reduces the amount of in-circuit copper from the measurement. Table 2 illustrates the benefits of a Kelvin-terminated WSK2512 compared to the 2-terminal WSLP2512.
|
||||||||||||||||||||
Table 2: Comparison of the Kelvin-terminated WSK2512 to the 2-terminal WSLP2512. (Image source: Vishay Dale)
There are two key questions (The example in Figure 6 is of the WSL3637)
- Why not notch all the way to the resistance alloy for the best TCR?
This would introduce a new problem because the copper allows for a low resistivity connection to the region of current flow to be measured. Notching all the way to the resistance alloy would cause the measurement to be applied through a portion of the resistance alloy where there is no current flow. This would result in an increased measured voltage. It is a compromise between copper TCR effects and measurement accuracy and repeatability
- Can I use a 4-terminal pad design to obtain the same results?
No. While the 4-terminal pad design does offer better measurement repeatability, it does not remove the effects of copper from the measurement circuit. The resistor will still perform to the same rated TCR
Figure 6: The notched construction (Vishay Dale’s WSL3637 shown here) reduces the amount of in-circuit copper from the current sensing measurement. (Image source: Vishay Dale)
Elevated construction
Kelvin terminal parts are not limited to a planar (or flat) type of construction. The WSK1216 and WSLP2726 are examples of resistors that use an elevated construction. The purpose is to save board space while still maximizing the portion of resistance that is contributed by the low TCR resistance alloy. The combination of maximizing the resistance element and Kelvin termination provides a resistor with low TCR at very low resistance values (down to 0.0002 Ω), a small footprint, and high power rating.
Clad construction vs. welded
Terminals constructed by applying a thin copper layer to the resistive element will also affect TCR and measurement repeatability. The thin copper layer can be achieved by a clad construction or by electroplating. A clad construction is achieved by rolling sheets of copper and resistance alloy together under extreme pressure to create a uniform mechanical bond between the two materials. In both construction methods, the copper layer thickness is typically a few thousandths of an inch, which minimizes the effect of copper and provides an improved TCR. The tradeoff is that the resistor will shift slightly in value when mounted to the board because the thin copper layer does not permit a uniform distribution of current through the high resistance alloy. In some cases, the board-mounted resistance shift can be much greater than the effects from TCR between the resistor types being compared. For more information regarding clad construction, refer to https://www.vishay.com/doc?30333.
Another factor of construction can play a small role in a resistor’s TCR characteristic in that the copper and resistance alloy properties may offset, providing a very low TCR characteristic. Detailed TCR testing for a specific resistor may be necessary to understand the full performance characteristic.
TCR in an application (ambient and applied power)
While TCR is typically considered in terms of how the resistor changes based on environmental or ambient conditions, there is another dimension to consider; temperature rise due to applied power. When power is applied the resistor heats due to converting electrical energy to thermal energy. This temperature increase due to applied power is also a component related to TCR, sometimes referred to as power coefficient of resistance (PCR).
PCR introduces another layer that is driven by construction, which is based on thermal conduction through the part or internal thermal resistance, Rthi. A resistor that has a very low thermal resistance on a high thermal conductivity board will maintain a lower resistor temperature. An example of this would be the WSHP2818, where the large copper terminal and internal construction provide a very thermally efficient construction that means the temperature will not rise significantly compared to the applied power.
Not all datasheets are created equally
Comparing specifications from multiple manufacturers can be difficult, as there are many ways to present TCR. Some manufacturers will list the element TCR, which is only part of the overall product performance as the termination effects are ignored. The most important parameter is the component TCR that includes the termination effects, which is how the resistor will perform in the application.
In other cases, the TCR characteristic will be presented for a limited temperature range, e.g. 20°C to 60°C, while another may present TCR characteristics across a wider operating range, e.g. -55°C to +155°C. When these resistors are compared, the resistor that is specified for a limited temperature range will present better performance than the resistor specified over a wider range. TCR performance is typically non-linear and worse in the negative temperature range. Detailed TCR curves specific to the resistor construction and resistance value may be available to support your design. Contact DigiKey or Vishay Dale at www2bresistors@Vishay.com.
Refer to the graphs in Figure 7 that show the non-linear TCR characteristic and how much difference the same resistor can present across a different temperature range.
Figure 7: An example of the non-linear TCR characteristic and how much different the same resistor can present across a different temperature range. (Image source: Vishay Dale)
If a datasheet lists TCR for a range of resistance values, better performance may be available. The lowest resistance value in the range will set the limit for the range due to termination effects. A resistor with the highest resistance value in the same range may have a TCR closer to zero because more of the resistance value is derived from the low TCR resistance alloy. For thick film, it is a combination of the silver content in the resistive film and the termination effect. One other point to clarify regarding this comparison of charts is that resistors do not always have this magnitude of slope, as some may be flatter, which is dependent upon the interactions of the TCR for both materials for the resistance value.
COMPARISON CHECKLIST
The purpose of this section is to offer a guide for comparing the TCR of one datasheet to another based on the details offered in this application note.
- Are the resistor constructions similar?
- Is the terminal construction clad, electroplated terminal, or a solid copper terminal?
- Does the datasheet list the resistance alloy TCR or a component (total) TCR performance parameter? This is not always easy to determine
- Temperature range
- Is the temperature range for the specified TCR the same, such as 20°C to 60°C or wider?
- Is the TCR value presented comparable for all resistance values?
- Would the design benefit from a Kelvin termination for improved TCR performance?
- Do you need more specific data for your design needs? www2bresistors@Vishay.com
Reference:
(1) Source: Zandman, Simon, & Szwarc Resistor theory and technology 2002 p. 23 - p.24
Additional resources
Disclaimer: The opinions, beliefs, and viewpoints expressed by the various authors and/or forum participants on this website do not necessarily reflect the opinions, beliefs, and viewpoints of DigiKey or official policies of DigiKey.




