Use Low-EMI Switching Regulators to Optimize High-Efficiency Power Designs
Contributed By DigiKey's North American Editors
2020-02-04
For designers implementing a battery-powered or distributed power system, it’s often a question of whether to use a low-drop-out (LDO) regulator or a switching regulator. Switching regulators offer higher efficiency, which is always good, especially for battery-powered products. The key trade-off is EMI from the power supply’s fast switching transistors—an issue that can be increasingly problematic in highly integrated and compact designs.
Input and output filter circuits mitigate the effects of EMI, but they do add to cost, circuit footprint, and complexity. These issues are being addressed by a new generation of integrated, modular switching regulators that offer various built-in techniques to limit EMI without compromising the regulator’s performance or efficiency.
This article briefly describes the advantages of switching regulators in portable designs and the importance of filter circuits. It then introduces examples of switching regulators with built-in EMI filters from Allegro Microsystems, Analog Devices, and Maxim Integrated, and how they can be used to simplify power delivery.
Why use switching regulators in portable designs?
High efficiency, low power dissipation (easing thermal management challenges), and high power density are the key reasons for selecting a switching regulator instead of an LDO. The efficiency of commercial switching regulator modules—i.e., the output power/input power x 100—is typically around 90% to 95% over most of the load range; far better than that of an equivalent LDO. Further, switching regulators are more flexible than LDOs because they are able to boost, step down (“buck”), and invert voltages.
The heart of a switching regulator is a pulse width modulation (PWM) switching element comprising one or two metal oxide semiconductor field effect transistors (MOSFETs) paired with one or two inductors for energy storage. The regulator’s operating frequency determines the number of switching cycles per unit time, while the PWM signal’s duty cycle (D) determines the output voltage (from VOUT = D × VIN).
While their high efficiency is an advantage in portable designs, switching regulators do present a number of trade-offs; these include cost, complexity, size, slow response to load transients and poor efficiency at low loads, though the latter is improving. The other major design challenge is to deal with EMI generated by the switching of the power transistor(s). The switching causes voltage and current overshoot in other parts of the circuit resulting in input and output voltage and current ripple, and transient energy spikes at the switching frequency (and multiples thereof). The voltage ripple peaks at the end of the PWM “on” period (Figure 1).
Figure 1: A trace of the output voltage ripple of a switching voltage regulator shows the transient spikes that are a major source of EMI. (Image source: Analog Devices)
Managing EMI
A proven way to reduce EMI caused by power FET switching in a regulator is to add resistor-capacitor (R-C) snubber circuits to the input and outputs. These circuits help filter energy spikes and attenuate voltage and current ripple, and in turn, EMI. A good target for a well-designed switching power supply with an output of 2 to 5 volts is a peak-to-peak voltage ripple of between 10 to 50 mV and minimal transient spikes.
Selection of the components for the filter circuits, especially the input and output bulk capacitors, is a tricky business involving the trade-offs of component size and cost (and impact on the regulator’s transient response and loop compensation) against peak-to-peak voltage and current ripple, and EMI mitigation.
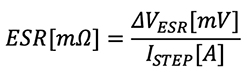
A good place to start is to resort to some established techniques based on key equations. The input voltage ripple comprises ΔVQ (generated by the input capacitor discharge) and ΔVESR (generated by the equivalent series resistance (ESR) of the input capacitor). For a specified maximum peak-to-peak voltage ripple at the input, it is possible to estimate the required input capacitance (CIN) and ESR of the bulk capacitor from Equation 1 and Equation 2, respectively:
Equation 1
And:
Equation 2
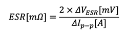
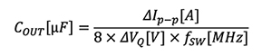
Where:
ILOAD(MAX) is the maximum output current
ΔIp-p is the peak-to-peak inductor current
VIN is the input supply voltage
VOUT is the regulator output voltage
fSW is the switching frequency
Similarly, for a specified maximum peak-to-peak voltage ripple at the output, the capacitance and ESR of the bulk capacitor can be determined from Equation 3 and Equation 4, respectively:
Equation 3
And:
Equation 4
It’s important to note that ΔVESR and ΔVQ are not directly additive since they are out of phase with each other. If a designer selects ceramic capacitors (which generally have low ESR), then ΔVQ dominates. If the choice is for electrolytic capacitors, then ΔVESR dominates.
The selected values of output capacitance and ESR are also influenced by the acceptable deviation of the output voltage from the desired output during fast load transients. Specifically, the output capacitor must be able to support the load current during the transient until the regulator’s controller responds by increasing the PWM duty cycle. To calculate the required output capacitance and ESR for minimal output deviation during a load step, use Equation 5 and Equation 6, respectively:
Equation 5
And:
Equation 6
Where:
ISTEP is the load step
tRESPONSE is the response time of the controller
But while these calculations help hone down the selection of appropriate components to manage voltage and current ripples, and transient spikes, the designer must also take into consideration the power dissipation in the capacitor (PCAP). This can be calculated from:
![]()
Where IRMS is the RMS input ripple current.
This equation shows that for a given ESR, the internal temperature rise is proportional to the square of the ripple current. If the device is employed to attenuate a large ripple current it could heat up markedly, and if that heat can’t be radiated away quickly, the capacitor’s electrolyte will gradually evaporate and its performance will decline until eventual failure. To avoid this outcome the engineer must select a larger and costlier device with a greater surface area to encourage heat dissipation than would otherwise be required.
Low EMI regulator options
While input and output filtering can mitigate voltage and current ripple, it is good design practice to select a switching regulator that meets the specification while minimizing the peak-to-peak ripple height. By doing so, the stress on the filter capacitors due to power dissipation can be lowered, enabling the use of smaller and less expensive devices.
One technique for minimizing voltage and current ripple is to employ a voltage-mode control scheme. In this scheme, the PWM signal is generated by applying a control voltage to one comparator input and a clock generated sawtooth voltage (or “PWM ramp”) of fixed frequency to the other. The technique is better for minimizing EMI than the alternative current-mode control scheme, which is prone to exacerbating EMI since noise from the power stage typically finds its way into the control feedback loop. (See DigiKey library article Voltage- and Current-Mode Control for PWM Signal Generation in DC-to-DC Switching Regulators.)
In addition to considering voltage-mode control, several silicon vendors offer a number of approaches to help internally lower the magnitude of voltage and current ripple. One example is Allegro Microsystems’ A8660 synchronous buck converter. This is a high-end device with automotive AEC-Q100 qualification. The regulator operates from an input (VIN) of 0.3 to 50 volts and offers an adjustable output voltage range from 3 to 45 volts. The device features a programmable base frequency (fOSC) from 200 kilohertz (kHz) to 2.2 megahertz (MHz). The A8660 also offers a range of protection features including a soft recovery from a dropout to eliminate an overshoot of VOUT and an unwanted voltage spike.
Key to the regulator’s ability to minimize EMI is a technique called PWM base frequency dithering. When activated, an internally set “dithering sweep” systematically changes fOSC by ±10%, spreading the energy around the switching frequency. The dithering modulation frequency (fMOD) sweeps a triangular pattern operating at 12 kHz.
A comparison of the conducted and radiated emissions of the A8660 with dithering enabled and disabled is shown in Figure 2. The external components and pc board layouts of the two test setups are identical.
Figure 2: Comparison of radiated emissions from a switching regulator using a fixed base frequency (red) against a regulator employing frequency dithering (blue). Operational parameters: fOSC = 2.2 MHz, VIN = 12 volts, VOUT = 3.3 volts, load = 3 amps (A). (Image source: Allegro Microsystems)
For designs using an operating frequency below the AM radio band (fOSC < 520 kHz), the A8660’s synchronization input can be used to shift fOSC and its harmonics to further minimize EMI. This is done by connecting an external clock to the SYNCIN pin and increasing the A8660’s base frequency from 1.2 to 1.5 × fOSC.
Analog Devices’ LT8210IFE synchronous buck/boost controller also features a triangular frequency modulation scheme. In this case the LT8210IFE slowly spreads fSW between the nominal set frequency to 112.5% of that value and back again.
In addition, the device offers “Pass-Thru” that suspends switching, thereby helping to lower EMI and boost efficiency by eliminating switching losses. The regulator has an input range of 2.8 to 100 volts with an output of 1 to 100 volts. The output voltage accuracy is ±1.25% and it has reverse input protection up to -40 volts.
When Pass-Thru mode is activated, the regulator’s buck and boost regulation loops function independently. Separate error amps are used to create the Pass-Thru window by setting the programmed output voltage for the buck regulation, VOUT(BUCK), higher than the programmed output voltage for boost, VOUT(BOOST). The impact of Pass-Thru mode on output voltage ripple is shown (Figure 3).
Figure 3: In Pass-Thru mode, the LT8210 regulator offers reduced output voltage ripple (blue trace) from a noisy input source (red trace). (Image source: Analog Devices)
When VIN is between VOUT(BOOST) and VOUT(BUCK), the output voltage tracks the input. Once VOUT has settled close to VIN, the LT8210 enters a low power state (Pass-Thru) where switches A and D are turned on continuously and switches B and C are off. If VOUT exceeds VIN by a set percentage, switches A, C, and D are turned off and the output is only reconnected after it has discharged to be nearly equal with VIN. If a positive line transient occurs while in the (non-switching) Pass-Thru window, causing VIN to exceed VOUT by a set percentage, switching will recommence to prevent large amplitude ringing in the inductor current. The output will be driven to the input voltage in a manner similar to a soft-start, and switches A and D will turn on continuously again after VOUT settles close to VIN. Figure 4 shows the switching topology.
Figure 4: The switches of the LT8210 regulator. In Pass-Thru mode switches A and D are turned on continuously and switches B and C are off. (Image source: Analog Devices)
Maxim Integrated’s low EMI offering is the MAX15021ATI+T buck switching regulator. It operates from a 2.5 to 5.5 volt input and has two outputs, each of which can be adjusted from 0.6 volts up to the magnitude of the input supply. The regulator’s base frequency can be adjusted from 500 kHz to 4 MHz using a single resistor.
In addition to supporting a voltage-mode control scheme to help limit voltage ripple, the MAX15021 enables operation of the regulators using 180° out of phase clocking (Figure 5). Together with the option to switch at frequencies up to 4 MHz, such a capability significantly reduces the RMS input ripple current. The resulting peak input current reduction (and increase in the ripple frequency) reduces the required amount of input bypass capacitance and hence the size of the capacitor required.
Figure 5: The dual regulators of the MAX15021 operate 180° out of phase to limit EMI. (Image source: Maxim Integrated)
Conclusion
Modular switching regulators are a good option for voltage regulation when high efficiency is paramount. However, the trade-offs compared to alternative solutions like LDOs include voltage and current ripple, as well as transient voltage spikes generated by the switching elements in the regulator. Unfiltered, this noise can lead to EMI that can upset sensitive chips close to the regulator.
Established design techniques such as using input and output filter circuits can attenuate EMI but require large capacitors to deal with big transient spikes and ripples. These can also dissipate a lot of power, which can lead to component overheating.
Instead, engineers now have access to a new generation of modular switching regulators with built-in capabilities to reduce voltage and current ripple, and transient spikes to help limit EMI even before filter circuits have been added. By using these regulators in their designs, engineers can reduce the dimensions of input and output bulk capacitors and decrease the size and cost of filter circuits.
Disclaimer: The opinions, beliefs, and viewpoints expressed by the various authors and/or forum participants on this website do not necessarily reflect the opinions, beliefs, and viewpoints of DigiKey or official policies of DigiKey.



