Ground Loops: What They Are and How To Avoid Them
2024-05-06 | By Antonio Velasco
When working on electronics, it's important to avoid certain flaws that can potentially lead to a faulty design. Components are small and can get very expensive, so it's important to account for any unintended scenarios where current can cause damage. One such case in electronics is ground loops. We'll talk about what they are, how to combat them, and why they occur in this blog.
What Are Ground Loops?
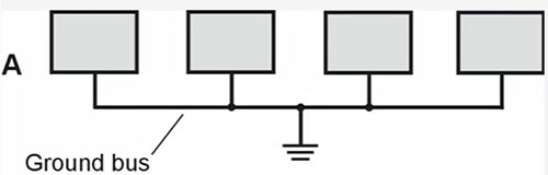
Ground loops, put simply, are current loops that form when there are multiple components connected to a ground. On any given PCB or circuit, you'll need to connect multiple components to ground. The most common and appropriate way to connect to ground is through a ground bus, where the components will connect to a shared line that goes to ground. This can be depicted in Scenario A from Stan Gilibisco's textbook "Teach Yourself Electricity and Electronics." You can see that all the components are connected on a shared line.

The faulty way that people connect components to ground is shown in Scenario B:

You can see here that the components are "daisy chained," and that multiple connections are leading to ground. As a result, the current that goes into ground at one area might be able to "loop" around back to the component. This allows for an unwanted connection between two components that shouldn't have occurred. For example, a higher voltage component might have some current leak into the path of a lower voltage component as a result of them both being connected to ground. As a result, the lower voltage component would likely be damaged by such unwanted current, leading to more issues.
Let's try to visualize this. Imagine that you're approaching a roundabout that is strong enough to take any car. You're coming from a road that can only support smaller cars and would be damaged by big semi-trucks. Say that the roundabout is also connected to a road that supports these big semi-trucks.

A "ground loop" is unintentionally created in our scenario, as in a roundabout, although they may intend for both the car (lower voltage component) and semi-truck (higher voltage component) to lead into a route to a common road (ground), the two roads are connected. This provides the opportunity for the semi-truck to accidentally drive onto the road that can only support smaller cars, thus causing damage to it.
Such are ground loops--by connecting all of our components to a common ground, the opportunity for an unintended connection arises. This is especially common in PCBs.
Why Is This SO Harmful?
Not only can it wreak havoc on your expensive components, but it can also affect your signals and the quality of your communications.

We can see this potentially with any communication hardware. When unwanted current is bled into channels, noise and interference may occur as a result. Circulating currents induce magnetic fields, which can affect nearby conductors. If you've ever had a speaker "hum" when not in usage, or had some unwanted noise in the background, this is likely one of the causes. As you might already know, this is pretty annoying.
It can be especially harmful for extremely precise instruments, like those used for surgery or space.
How Can We Combat Ground Loops?
We can potentially quell ground loops by implementing a number of techniques in both design and implementing the best practices for grounding.
- A single common ground point can be established. All connections would lead to one area, and in this example, we wouldn't have a "roundabout"--just a single road that leads to ground. The layout of such a design would have to be optimized and built around a single point though, making it harder to implement for larger designs.
- Isolators can be implemented in the design. This would break the electrical current and connection at certain points, thus preventing any looped currents. This is equivalent to placing a roadblock in our "roundabout," cutting off the loop before any unwanted current cycles around.
- We can balance our signal lines and amplifiers. This mostly quells the interference and noise aspect, preventing any magnetic fields as a result of induced current. Two different conductors would be opposite to each other, and thus cancel out--removing any noise caused by ground loops.
- We can follow all the best practices for grounding. In any case, it's always best to follow grounding best practices first. This includes making ground conductors as short as possible, avoiding any loops if at all possible, and making sure all ground paths are low impedance.
Ground loops have been around forever, and you've likely noticed the effects of some of them in your daily life. However, there are many ways to combat them, and it's important to take this into consideration when designing any PCBs or circuits. When it comes to electronics, there's a lot more that goes into designs than just connections and pinouts--and ground loops are just one of the many issues to watch out for.

